山西大学首页  |  设为首页  |  加入收藏  |  中文版  |  English
当前位置: 首页» 招生就业» 招生信息
招生就业
招生信息
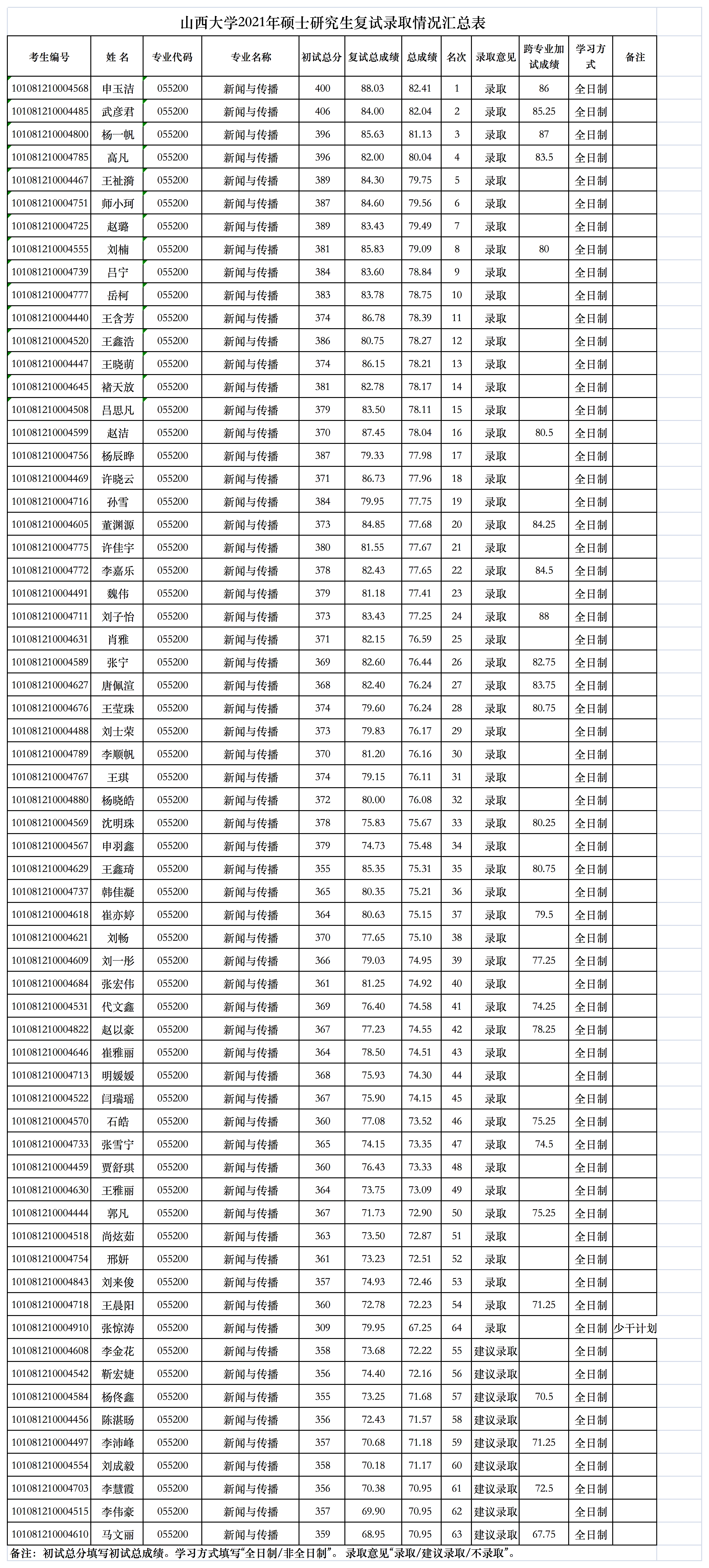
九游·会(J9)官方网站2021年硕士研究生复试录取情况公示
九游·会(J9)官方网站:2021-04-03 阅读次数:
九游·会(J9)官方网站 联系电话:0351-7011855 地 址:山西省太原市坞城路92号(邮编 030006) (晋)ICP备05000471号
建议浏览使用:1024*768分辨率、16位以上颜色、Mozilla1.7、IE6.0版本浏览器